La distribución de Probabilidad son todos los posibles valores que resultan de un experimento aleatorio, junto con la Probabilidad asociada.
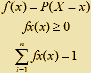
La distribución de una variable aleatoria está definida por una función de probabilidad denotada f(x).
Éstas son las condiciones para que se de una función de probabilidad:
Gráfico de una Distribución de Probabilidad
DISTRIBUCIÓN BINOMIAL
Es la cantidad de resultados en un experimento con un número exacto de éxitos en un número dado de intentos.
Para éstas probabilidades (la Binomial y las que vienen) se va a tratar con el principio de Bernoulli, que explica que para un experimento se tienen dos opciones éxito y fracaso. Los éxitos se escriben como p y los fracasos (todo lo que no es éxito) son q ó 1-p.
Los principios de la Distribución Binomial son:
- El experimento es una sucesión de n intentos idénticos
- La probabilidad de éxito, como la probabilidad de fracaso son simpre las mismas, no cambian de un intento a otro.
- Los intentos son independientes.
La fórmula para hallar la probabilidad binomial es:
Donde n = número de intentos; x = probabilidad de tantos éxitos en esa cantidad de intentos; p = probabilidad de un éxito en cualquier intento; q =probabilidad de un fracaso en cualquier intento.
Este es un ejemplo fácil para entenderlo
DISTRIBUCIÓN GEOMÉTRICA
Se habla de esta distribución cuando se tiene una serie de eventos y el número de éxitos (p) es siempre el mismo. La variable x hace referencia, entonces a la cantidad de ensayos hasta obtener el primer éxito. También se interpreta como el número de fracasos que hay, hasta obtener el primer éxito.
La fórmula de esta distribución es:
En algunos casos se toma k en vez de x
Ejemplo:
DISTRIBUCIÓN HIPERGEOMÉTRICA
Se utiliza esta distribución cuando se tienen n artículos seleccionados sin reemplazo y se obtiene una cantidad de terminada de éxitos (x), entendiendo que lo que le falta a x para ser igual a n son los fracasos (n-x). Primeramente se sabe que hay un número determinado de éxitos (r) dentro del total de la población; entonces x es una parte de r.
La fórmula tradicional para obtener esta distribución es:
Así se ve en el ejemplo:
DISTRIBUCIÓN DE POISSON
Esta distribución muestra la probabilidad que ocurra un evento x veces en intervalo determinado de tiempo o espacio.
Algunas características de esta probabilidad son:
- La probabilidad de ocurrencia es igual en dos intervalos cualesquiera de longitud
- La ocurrencia o no ocurrencia en cualquier intervalo es independiente de la ocurrencia o no ocurrencia en cualquier otro intervalo.
La fórmula para obtener esta probabilidad está dada por:
Aquí hay un ejemplo:
DISTRIBUCIÓN BINOMIAL NEGATIVA
Es lo opuesto a la distribución Binomial, consiste en que se tiene una serie de intentos independientes en la que la probabilidad de éxito es constante, la variable aleatoria son los intentos que se realicen hasta obtener r éxitos. Una distribución binomial Negativa es una suma de variables aleatorias geométricas.
La fórmula para su obtención es:







No hay comentarios:
Publicar un comentario